不久前,Emerging与泰晤士高等教育发布的2026年全球就业力大学排名,在全亚洲的大学圈里投下了一枚“深水炸弹”。
在这份被MIT、斯坦福、剑桥等清一色英美老牌强校垄断的TOP 10榜单里,只有一所亚洲大学撕开了口子,硬生生挤到了全球第8的位置。
它,就是新加坡国立大学。

反观我们熟悉的香港大学,竟然不如港科位列第42名,这早已不是同一维度的竞争。
当港校还在为守住前50而努力时,新国立已经单枪匹马杀进了英美队的王牌阵营。
为什么港新的就业力会差得这么多?新国立的真实实力究竟如何?
“新国立的含金量等于清北?”
先来看看泰晤士全球就业力大学排名,究竟是个什么榜单?
这份榜单可以算是留学生选校的“就业指南针”——因为它是全球唯一完全靠雇主真实评价做出来的排名,没有那些艰涩的学术指标,全看企业认不认。

它的评选逻辑很简单:从全球1000所高校里筛出250所雇主最爱,背后是32个国家、12350家企业的近12万张“选票”,都是实打实的招聘方。
在榜单的Top 10里,欧美名校还是老样子“霸屏”:美国5席,英国3席,剩下的两席留给了新加坡国立大学和苏黎世联邦理工学院。能在哈佛、斯坦福这些“大佬”中间抢到第八名,新国立的就业含金量真不用多说。

可能有人会觉得“国际排名有点虚,咱更关心国内企业买不买账”。别急,国内顶尖机构的招聘名单就是最实在的“照妖镜”,新国立在里面的表现依然出色:
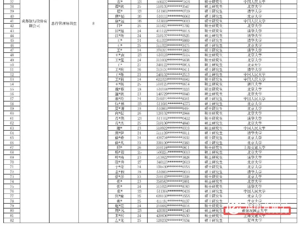
在成都银行2026年秋季校园招聘(第一批次) 的资格审核名单中,入选的82名候选人几乎是清一色的清北、复旦、人大学霸。而在这份“神仙打架”的名单里,唯一的海外高校身影就是新国立,格外扎眼。
要知道金融类国企招聘向来“卡背景”,能和C9名校站在同一梯队,新国立的认可度已经不用多说。

成都银行2026年秋季校园招聘(第一批次) 名单
而且这还不是个例。
在成都农商银行同期的64人资格审查名单里,新国立7人,和NTU12人、港大11人一起,成为海外院校中的主力军。
这类银行的网申淘汰率高达80%,新国立毕业生能轻松突破“海选”,也足以说明国内企业对它的信任。

成都农商银行招聘名单
除了这些公示的名单,指南者今年入学新国立的学姐也表示:在拿到NUS的学历后,再投递秋招感觉明显顺多了。

“新国立毕业能赚多少钱?”
今年,新国立更新了24届的就业率与薪资报告。
先来看几大吸金方向:
计算机相关专业就业率最低达89.5%,月薪平均5658新元(约3万元),比很多工作三五年的职场人薪资都高。这个专业涵盖了现在最火的信息安全、商业分析,都是互联网、科技大厂抢着要的香饽饽。

商学专业是传统的热门领域,虽然起薪不是最高(4300新元,约2.3万元),但却是“潜力股”——从两年前的4150新元涨到现在,涨势喜人。学金融、会计的毕业生,很多进了摩根大通、汇丰银行的新加坡分行,或者中金、中信,职业天花板特别高。
法律专业更狠,就业率96.9%,月薪平均数7000新元(约3.8万元),大多进了顶尖律师事务所或跨国企业的法务部。

牙医专业直接实现100%就业,虽然月薪平均数4550新元(约2.5万元)不算顶尖,但医生这个职业的稳定性和长期发展,谁看了不羡慕?
还有一个“潜力股”专业值得关注,那就是环境研究。现在月薪中位数4000新元(约2.2万元),但随着“双碳”目标推进和绿色经济兴起,这个专业的人才需求正在井喷,未来薪资涨幅绝对可期。
当然也有“相对佛系”的专业,比如艺术、设计与媒体,起薪3800新元(约2.1万元),涨幅也比较小,但胜在就业灵活,很多毕业生进了大厂的媒体创意部门,从事自己喜欢的工作。
而这样的薪资待遇几乎和港大今年发布的毕业生就业报告不相上下,同时也整体优于2024年香港雇主愿意支付的平均薪酬。

“就业前景,港新怎么选?”
这两年,实打实的高性价比+就业优势,让港新留学火上加火:
距离更近,相比欧美省下一半路程;效率更高,一年硕光速毕业,比国内读研少花两年时间;学历认可度高,基本是QS前50/100的世界名校,不管是留本地还是回内地就业都吃得开。
那么同样是亚洲顶尖院校,新加坡的硕士和香港的硕士,谁在就业上更能打?
1.求职稳过简历关
求职的第一道坎就是简历关,而港三新二的学历,基本算是畅通无阻。
在排名硬指标上:2026年QS世界大学排名里,新国立稳坐第8,南洋理工第12;香港大学第11,港中文第32,港科技第44——全都稳稳扎在全球前50,属于雇主眼里自动加分的梯队。
不管是国内的央企国企、还是外企互联网大厂,每年校招名单里港三新二的毕业生占比都不低;甚至互联网行业的阿里、小米,在海外校招时更是把这些学校列为“重点目标院校”。

2.找实习的便利程度
对一年硕来说,实习有多重要不用多说。甚至有些企业的校招offer是从“实习转正”来的,因此,这一轮对比,香港的优势很明显:地理位置近。
从香港回内地,必然是更方便的。周末、寒暑假就能往返内地参加实习面试;尤其是深圳、广州的互联网公司和金融机构,特别喜欢招香港的留学生做实习,甚至会专门去港三开宣讲会,实习机会一抓一大把。
反观新加坡,距离内地远一些,往返机票和时间成本都更高,想兼顾学业和内地实习确实有点麻烦。如果你想在新加坡本地实习也藏着“小门槛”:

3.留港or留新?
如果考虑留本地工作,那港新的政策差异就值得重点关注了:
香港的优势是人才签证政策宽松。只要是港硕毕业的学生,不用先找工作就能申请IANG签证,有效期2年,在这期间不管是找工作还是换工作都不受限制。而且香港对粤语友好,会说粤语的同学融入职场特别快,如果能在香港待满7年可申请永居。
新加坡的政策则稍有门槛,但对比英美等国家也还算友好。毕业后申请临时签证相对容易,允许最长一年留新找工作,如果有合适的就能申请工签,获批率高达92%。
而且新加坡的政策“长线优势”更加明显。只要拿到EP签证并工作满2年,就有资格申请永久居民(PR),30岁以下硕士获批率超80%
其实,港新硕士没有绝对的“谁更好”,只有“谁更适合你”:
如果你的目标是快速回内地工作,那么优先选香港,实习和求职都更方便;如果你的规划是进跨国企业,或者想在科技、生物医药领域深耕,那么新加坡或许更合适,专业实力强,政策扶持力度大。
当然,不管选港还是选新,有一点是共通的:港三新二的申请已经越来越卷了。尤其是现在来到12月份,香港的申请进度已经过去大半,下半程的申请难度大大增加。新加坡这边则相对好些,未来还有一些春季项目可以兜底。
如果你对港新留学感兴趣,一定要加快出手速度,别再观望了!